Welcome to the new GMMG Registry forum! Hopefully this new forum should be easier for everyone to register, login, navigate, and post!

NON - GMMG cars for sale. Must include all information (i.e., price, miles, full description, contact information, etc.). IF YOU BUY OR SELL A CAR AS A RESULT OF INFORMATION OBTAINED IN THIS FORUM OR FROM ASSISTANCE FROM THE GMMG REGISTRY MANAGEMENT TEAM, WE ASK FOR A 1/2% OF 1% CONTRIBUTION OF THE SALE OR PURCHASE PRICE TO THE GMMG REGISTRY TO ASSIST WITH CONTINUING OPERATIONAL EXPENSES OF THE GMMG REGISTRY AND WEBSITE MAINTENANCE.
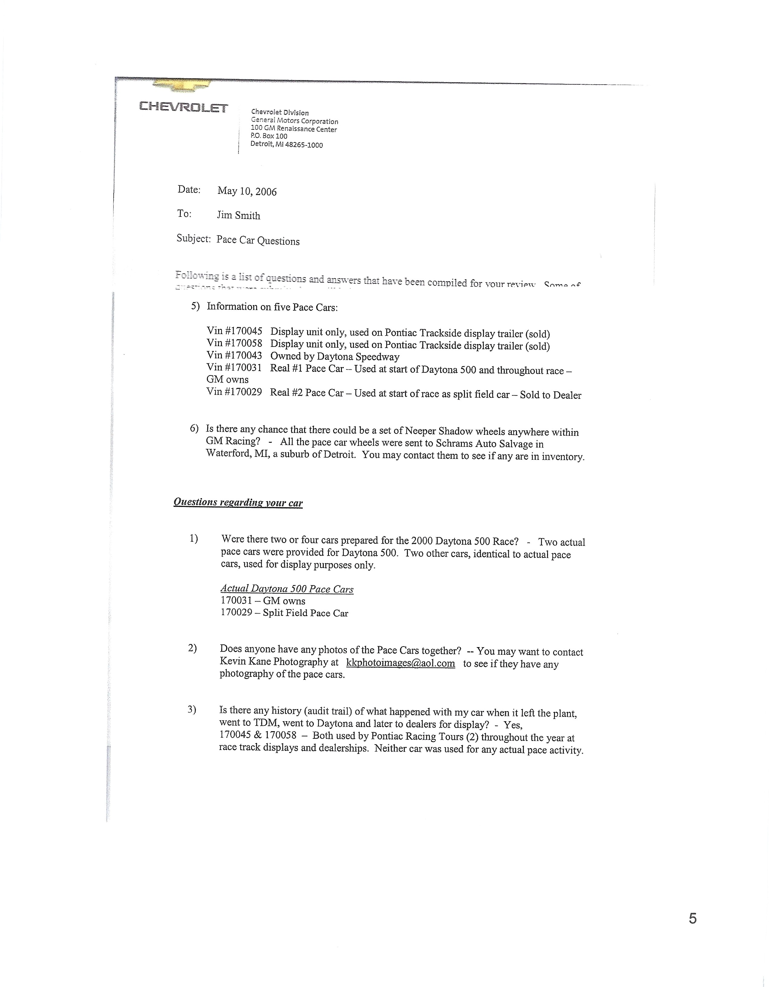
-
Topic author
daytonajim
- Site Admin
- Posts: 2163
- Joined: Fri Nov 16, 2012 9:26 pm
- Location: Balsam Lake, WI
- Vehicle: Many GMMG's
-
Contact: